Abstract
Government investments in the audiovisual sector in Brazil are made by ANCINE, the Brazilian Film Agency, under the supervision of the Brazilian Ministry of Culture through two main axis: Regulation (to fight marketing concentration practices) and Funding, through tax incentives, stimulating private investment in the sector and allocation of resources to the various links of the audiovisual production chain.
However, despite the growth of economic activities in the area, there are no public policies nor a long-term strategic approach able to promote a real democratic access and opportunities to movie making training and practice by brazilian citizens, especially young people. Instead, the ad hoc public intervention practice is a set of punctual, ineffective, and elitist programs.
ENCINE (Hypermedia and Audiovisual Producers, Screenwriters and Filmmakers Encounter), is an intervention program idealized by filmmaker Pedro Gandolla and realized by LIGHTRAY Multimedia (an audiovisual production company based in Mogi das Cruzes, São Paulo - Brazil) that creates opportunities to young people craving to develop their talents and find partners to operationalize their creative expression as filmmakers.
Through the mobilization of hypermedia and cinema artists, since 2013, we´ve been implementing public policies collaboratively aiming to interfere with state interventions, democratize the access to and increase the quality of the cinematographic production in Brazil. ENCINE, as a civil society public policy proof of concept, is a revolutionary, scalable strategy that fills the gap of a long term, democratic and inclusive vision to the audiovisual sector development.
Keywords: Política Pública, Produção Audiovisual, Cinema, Public Policy, Filmmaking, Cinema.
Investimento público para benefício privado
A partir da promulgação da Constituição Federal de 1988 no Brasil, a Cultura passou a ser considerada direito fundamental do cidadão e, por extensão, objeto de intervenção de políticas públicas de Estado.
A noção de “Direito Cultural” ali estabelecida ampliou a premissa fundamental presente na Declaração Universal dos Direitos Humanos, particularmente ao reconhecer os direitos à diversidade e identidade cultural (artigo 215) (Brasil 2018): Além de direito indispensável para a garantia da dignidade e do desenvolvimento da personalidade, a Cultura passa a ser reconhecida como elemento fundamental para a formação da identidade do indivíduo, pela influência direta que exerce na construção do conhecimento, no senso de pertencimento, no desenvolvimento pleno do potencial criativo e formação crítica do cidadão e, portanto, fator indispensável ao pleno exercício da cidadania.
Apesar do avanço conceitual, o modelo de gestão cultural e os mecanismos criados para garantir o direito cultural do cidadão no Brasil têm sido marcados, desde sua concepção, por uma ideologia reducionista, elitista e incompatível com essa visão, herdada do ciclo neoliberal da política nacional iniciado nos anos 90 e instrumentalizados por políticas de incentivos fiscais excludentes, concebidas com o intuito de atender a interesses políticos e econômicos de determinados setores e grupos empresariais, transferindo ao setor privado o poder e o privilégio de gerir a política de cultura nacional, selecionar os agentes culturais a que deseja estimular e decidir sobre a aplicação de recursos públicos em função de seus interesses particulares. Na prática, os mecanismos criados a partir de um suposto princípio democrático têm sido utilizados por empresas para promoverem suas marcas e produtos, gerando privilégios, distorções e desvios de finalidade na distribuição desses recursos, entre as quais cabe ressaltar (Assis et al. 2016, 1):
- A concentração de captação de recursos e produção na região Sudeste (~85% do total para 1,5% das produtoras);
- Ineficiência dos proponentes quanto à geração de renda e alcance de público (83,60%);
- Concentração de produções em distribuidoras de maior porte. Entre 2009 e 2018: 60,6% do total para dez companhias (ANCINE 2019, 46);
- Apenas 4,3% dos projetos conseguem captar mais que 90% do valor aprovado pelo incentivo fiscal; e
- O tempo médio de captação de recursos é de 3,1 anos, o que pode inviabilizar a execução do projeto.
Reducionismo e violência simbólica
Os investimentos governamentais no setor audiovisual no Brasil são feitos pela ANCINE, a Agência Nacional de Cinema, sob supervisão do Ministério da Cultura em dois eixos: Regulamentação (para combater práticas de concentração de marketing) e Investimento por meio de incentivos, estímulo à aplicação de investimentos privados no setor e alocação de recursos nos elos da cadeia de produção audiovisual.
Em estudo publicado no Observatório do Cinema e do Audiovisual (OCA), o Valor Adicionado pelo Setor Audiovisual (indicador que mede sua relevância econômica) foi de R$ 26,7 bilhões entre 2015 e 2018 e, segundo a Coordenação de Serviços e Comércio da Diretoria de Pesquisas do Instituto Brasileiro de Geografia e Estatística (IBGE), de R$ 27,5 bilhões em 2019 (ANCINE 2022 13), superando indústrias como a farmacêutica, têxtil, e de equipamentos eletrônicos.
Apesar do crescimento das atividades econômicas no setor, não existem políticas públicas ou um plano estratégico a longo prazo que tenham por objetivo democratizar o acesso e oportunidades de formação e prática da produção cinematográfica ao cidadão brasileiro, especialmente os mais jovens.
Como agravante, por ser implementado sem uma base de referências conceituais e metodológicas, sem planejamento estratégico ou mecanismos de aferição de qualidade dos produtos ou da relação custo benefício dos investimentos, esse modelo reducionista tem sido responsável pela proliferação de produtos culturais rasos, de entretenimento fácil, que promovem a manutenção de um padrão hegemônico e acrítico de cultura, exatamente o oposto do que se espera de uma intervenção com potencial para provocar uma significativa transformação social.
Os indicadores de relevância econômica e empregabilidade, frequentemente citados pela agência como principais auxiliares para a formulação de políticas públicas para o setor (ANCINE 2013, 2019, 2022), ignoram o objetivo central da política pública, a necessidade de desenvolvimento de suas dimensões transversais e de se pensar, por extensão, o seu caráter cultural de forma sistêmica, integrada, inclusiva e democrática, como previsto pela Constituição brasileira.
Reduzir o valor da produção audiovisual à sua dimensão econômica equivale a uma violência simbólica. O cinema e suas extensões são expressões artísticas e simbólicas vivas que impactam diretamente a construção de identidades, reafirmam a diversidade, constroem cidadania. Uma política pública para o setor só será ética, eficaz, quando formulada sob essa ótica.
Políticas Culturais como instrumento para a cidadania ativa e formação crítica e estética do cidadão
No processo de formulação, implementação, controle e avaliação das políticas públicas para o audiovisual no Brasil não se considera a necessidade de se promover uma discussão ampla e especializada sobre os diferentes contextos sociais em que se inserem essas intervenções (Times 2013) (CNPC 2023), a partir da qual se possam definir uma base conceitual e uma visão estratégica realista para a intervenção e objetivos gerais e operacionalizados para orientar a execução dos planos de ação. A ausência de objetivos estratégicos claros impossibilita para as instituições públicas a execução de um planejamento estratégico com base em critérios coerentes para as ações de intervenção, resultando em desvios de finalidade, ausência de prioridades, alocação ineficiente e desperdício de recursos públicos.
Outras consequências diretas dessa abordagem ad hoc para resolução de problemas são a ineficácia e a baixa qualidade das soluções propostas para os problemas sociais e econômicos objetos de intervenção, bens e serviços, além de uma discrepância entre o volume total de recursos alocados e a previsão orçamentária inicial, devida a adendos orçamentários e gastos imprevistos com infraestrutura, remodelagem da solução e descontinuidade.
A ausência de critérios para a intervenção (CNPC 2009) resulta na impossibilidade de avaliação qualitativa das ações e seus resultados e não existem instrumentos legais para punir os agentes públicos responsáveis pelo mau uso de recursos públicos, gerando um ciclo vicioso de incompetência, irresponsabilidade, ineficácia, baixa qualidade, desperdício e impunidade que se retroalimenta e impede o desenvolvimento coerente do setor a longo prazo.
O mecanismo de intervenção social tem por objetivo principal a criação e promoção das competências necessárias para a participação ativa do cidadão nos processos decisórios (cidadania ativa), garantindo a sua dignidade e o direito de autodeterminação previsto na Declaração Universal dos Direitos Humanos.
Por definição, Políticas Culturais são projetos de intervenção social, realizados principalmente pelo Estado e concebidos a partir de ampla mobilização e participação social para garantir a democratização da expressão e do consumo da cultura de modo a atender às necessidades culturais da população e desenvolver suas representações simbólicas, garantindo a diversidade de expressões e equidade (CNPC 2009).
Como premissa, em sentido amplo, a Cultura, entendida como processo de simbolização, é necessidade básica e característica essencial que nos define como seres humanos. Os processos de simbolização e significação por meio de diferentes linguagens mediam nossas relações com o mundo, com o outro e nós mesmos e são a base da construção do conhecimento e da identidade.
Formular uma política cultural estratégica e eficiente passa pela necessidade de compreender e discutir essa dimensão ampla do conceito e o modo como se estende e reafirma na produção simbólica e de significados impactando a construção, compreensão e reconstrução da nossa visão de mundo.
A formulação de uma política cultural não é, portanto, uma tarefa empírica e trivial, como tem sido tratada. Parte da necessidade de se estabelecerem o escopo, princípios, conceitos e estratégias que orientem o planejamento das modalidades políticas e objetivos, instrumentos de intervenção e seus efeitos considerando a complexidade do contexto socioeconômico em constante transformação em que se insere e do qual derivam várias questões de cunho conceitual e ético.
Interesses econômicos advindos de novos modelos de negócio e comunicação em massa global e sua interconectividade usando plataformas de Video On Demand, streaming, gaming e redes sociais, vêm progressivamente reduzindo a arte e a cultura à condição de mercadoria, a meros produtos de entretenimento e marketing. Qual o papel da intervenção pública na cultura, sob esta ótica? A que “Cultura” estamos nos referindo? Qual a importância da formação estética e crítica do cidadão neste contexto?
Mais grave, essa degradação simbólica se insere em um contexto multifacetado de progressiva ruptura das estruturas, esvaziamento e desintegração do humano, das relações sociais, resultado do modus operandi capitalista e do impacto de suas estratégias de comunicação, persuasão e propaganda na formação da identidade e nas relações humanas e de trabalho.
Filósofos e ativistas têm chamado atenção para a progressiva violência e manipulação das relações sociais, em uma realidade complexa, que é ignorada e substituída, durante o processo de formulação de políticas públicas, por modelos elitistas e super simplificados.
O filósofo e ativista político Noam Chomsky, por exemplo, alerta, para a alienação que permeia os Estados democráticos e os seus fenômenos políticos e midiáticos, que não levam em conta o poder da mídia, hoje, como instrumento de ordenação e parametrização de comportamentos e pensamentos e seu impacto sobre a democracia (Chomsky 2013, 4).
O filósofo e historiador Achille Mbembe alerta sobre o processo hegemônico de dominação do capital financeiro e seu aspecto mais preocupante: o fim da “noção humanística e iluminista do sujeito racional capaz de deliberação e escolha”, a substituição de “pessoas com corpo, história e carne por inferências estatísticas”, por “consumidores conscientemente deliberantes e eleitores” de cujo único valor provém do que tenham a vender (Mbembe 2016).
Em “Necropolítica” (Mbembe 2018), discute como as políticas governamentais de Estado, instrumentalizadas por aparelhos sociais públicos, têm legitimado um processo de submissão da vida pela morte com objetivo de controlar e determinar quem deve viver ou morrer.
Em que medida a cultura, como a entendemos, tem reproduzido narrativas que nos fazem perpetuar a barbárie, a violência, as desigualdades e o sofrimento, por exemplo?
Até que ponto o Estado não tem financiado produtos culturais que induzem à alienação e manutenção do status quo por falta de uma discussão conceitual mais aprofundada sobre os objetivos da intervenção e seu impacto na sociedade?
Um bom exemplo para ilustrar essa reflexão está na cena final do filme “Tropa de Elite”, uma das maiores bilheterias no Brasil, premiado no Festival de Berlim e financiado por recursos públicos. Na cena final, um traficante é executado à queima roupa por um policial com um tiro no rosto para que não pudesse ser reconhecido no funeral! É uma cena chocante, desumana e perversa por seu grau de violência mítica e simbólica. Ainda mais chocante, no entanto, foi a reação do público na sessão de cinema: silêncio seguido por gemidos de um prazer mórbido e, no final, a cena aplaudida!
A que “Cultura” nos referimos quando o Estado apóia filmes como esse em que, apesar da suposta intenção de problematização da violência urbana e do autoritarismo policial, há uma narrativa claramente extremista que foi interpretada pelo público como defesa de um modelo de Estado de exceção, autoritário, desumano, que usa da repressão e violência para colocar cada um no seu lugar? Apagar identidades! Um elogio à necropolítica!
É uma irresponsabilidade ignorar, no processo de formulação de políticas culturais, discussões conceituais e éticas dessa natureza. Infelizmente, esse não tem sido o fórum para avaliar a complexidade do contexto socioeconômico e proposição de estratégias eficazes de intervenção social, que contribuam para a solução de questões estruturais importantes.
Diante dessa omissão, é cada vez mais notória a necessidade e urgência de que as políticas culturais evoluam de modo a resgatar seu papel fundamental de orientação para a formação crítica do cidadão a partir do desenvolvimento do seu discernimento, da sua participação no processo de construção simbólica e empoderamento como agente ativo de emancipação da sociedade e criação de uma ordem social mais justa e equitativa que passa pela necessidade de repensar o conceito de cultura!
Trinta anos de aplicação de uma política neoliberal rasa e elitista foram suficientes para mostrar a necessidade de se formularem políticas culturais capazes de transcender o reducionismo teórico presente nas intervenções feitas, até então, no setor: políticas que respeitem e levem em conta o poder do audiovisual e do cinema como bem simbólico, ferramenta de construção de identidade e representatividade e, dessa perspectiva, compreender sua enorme relevância coletiva, social, artística e cultural.
A participação ativa da população e dos agentes de produção independentes na formulação de políticas culturais é essencial para atingir esse objetivo e precisa sair da tutela do poder público, que se mostra incompetente para gerar soluções democráticas estáveis e eficazes a longo prazo.
É necessário atuar em todas as dimensões transversais da política cultural, desenhando programas de apoio à criação, capacitação profissional, produção, circulação, financiamento da produção independente (de fato), mas, principalmente delinear estratégias que promovam um amplo processo de mobilização, debate e formação crítica e estética do cidadão e que levem à independência também na concepção conceitual de políticas públicas por parte da sociedade civil, nesse e em outros domínios, em um autêntico exercício de cidadania ativa.
No presente artigo demonstramos a viabilidade de implementação de um modelo simples de planejamento estratégico que tem por objetivo mobilizar, organizar e capacitar a sociedade civil para a elaboração de políticas públicas locais com essas características.
O Encontro de Cineastas, Roteiristas e Produtores de Audiovisual e Hipermídia do Alto Tietê (ENCINE) é uma estratégia revolucionária, escalável que representa uma visão a longo prazo para o desenvolvimento do setor audiovisual em bases democráticas e inclusivas, buscando a sustentabilidade e independência do Poder Público.
O evento nasceu de uma proposta de planejamento estratégico redigida pelo autor como representante do segmento no primeiro conselho de cultura na cidade de Mogi das Cruzes, São Paulo, no ano de 2005.
O ENCINE consiste em encontros em diferentes modalidades de atuação entre cineastas e público em geral, que implementam as metas e diretrizes necessárias para atingir os objetivos estratégicos a médio e longo prazos previstos originalmente nesse plano (Figura 1).
A partir do diagnóstico da problemática do setor audiovisual local, a proposta apresenta como objetivo estratégico central para sua estruturação e desenvolvimento a criação de um núcleo de produção audiovisual independente e de alta qualidade técnica funcionando com características mistas de uma cooperativa, núcleo de produção e núcleo de formação técnica e artística e fórum para discussão de tópicos avançados relativos ao papel do cineasta diante da evolução da sociedade e dos conceitos de arte e cultura
Uma visão estratégica para o combate à exclusão social no setor audiovisual
Na teoria clássica da administração o planejamento estratégico é um modelo de gestão que tem como principal característica a definição de objetivos estratégicos, a partir de uma visão global da organização a médio e longo prazos.
O planejamento é a ferramenta usada pela empresa para concretizar sua visão de futuro a partir de uma declaração de missão e norteada por um conjunto de valores que serão a base para as etapas de Organização, Direção e Controle posteriores.
O planejamento estratégico em questão foi formulado a partir de uma adaptação do processo descrito em Almeida (2001) (Figura 2).
Como base para a missão do Conselho Municipal de Cultura como agente de mobilização, foram adotados os princípios constitucionais e fundamentos do Estado de Direitos: a busca da garantia do direito cultural, o exercício da cidadania ativa e democratização do acesso à criação e produção cinematográfica.
A etapa de diagnóstico foi realizada com base em uma adaptação do modelo de análise SWOT (Lambert et al. 2010), aplicado ao contexto regional, para mapear a atuação dos produtores locais e levantar suas necessidades.
O Diagrama de Ishikawa (Figura 3) mostra o resultado do diagnóstico e principais dimensões do problema.
O mapeamento dos fatores que levam à exclusão social na produção audiovisual revelou a complexidade do contexto da intervenção e as limitações dos mecanismos de intervenção social e Gestão Cultural como as principais causas do problema:
A - INTERVENÇÃO SOCIAL E GESTÃO CULTURAL
A1 - POLÍTICAS PÚBLICAS PARA O AUDIOVISUAL
- Empíricas e realizadas, na prática, sem planejamento, visão estratégica ou base conceitual;
- Metodologia ineficaz baseada em uma visão distorcida, idealizada da realidade que ignora a complexidade dos contextos socioeconômicos em que será aplicada particularmente nas periferias;
- Investimentos pontuais, ineficazes, excludentes;
- Ausência de indicadores de qualidade e critérios de aplicação e avaliação;
- Estímulo à manutenção de um padrão cultural hegemônico, mainstream, pequeno burguês, voltado ao entretenimento e propaganda política e empresarial.
A2 - PROGRAMAS DE INCENTIVO E FOMENTO
- Marcados por uma ideologia neoliberal que reduz o artista e cidadão à condição de empreendedor do qual se exige conhecimentos técnicos para elaboração de projetos, captação de recursos e prestação de contas de que ele não dispõe;
- Mecanismo falho devido a uma metodologia ineficaz, elitista e excludente pensada para privilegiar a execução de projetos culturais elaborados por setores de marketing de empresas com suporte de sua infraestrutura contábil e jurídica;
- Recursos insuficientes, mal alocados e mal distribuídos devido à inexistência de critérios de aplicação e avaliação qualitativa;
- Desvios de finalidade; e
- Censura Ideológica.
A3 - INSTÂNCIAS DE PODER (Conselhos e Secretarias de Cultura)
- Abuso de poder e corrupção derivados da aplicação de critérios pessoais para distribuição de recursos;
- Conflito de Interesses com a implementação de mecanismos de avaliação de qualidade técnica de projetos por equipes formadas pelos próprios conselheiros ou funcionários públicos;
- Instrumentalização política da distribuição de recursos a partir de acordos escusos entre secretarias de cultura e empresas para privilegiar determinados agentes culturais em troca de isenção de impostos municipais;
- Ausência de planejamento e mecanismos de avaliação de resultado dos investimentos;
- Incompetência técnica e política;
- Nepotismo e privilégios escusos advindos da distribuição irregular de recursos;
- Excesso de intermediários e interesses econômicos derivados do mecanismo de captação de recursos;
- Desperdício e manipulação indevida de Recursos;
- Hegemonização e censura ideológica nos projetos propostos.
B - COMPLEXIDADE DO SETOR AUDIOVISUAL
- Ciclo de Produção longo e complexo;
- Natureza colaborativa;
- Ausência de conhecimento sobre o conceito e escopo;
- Demanda profissional multidisciplinar especializada (Artísticas + Técnicas + Gerenciais);
- Vários modelos de negócio;
- Vários segmentos produtivos;
- Alta concorrência;
- Questões éticas vinculadas aos produtos.
C - CICLO DE PRODUÇÃO
- Produção cara e complexa;
- Alta concorrência;
- Demanda por qualidade técnica como fator de competitividade;
- Financiamento privado restrito;
- Custo de produção proporcional à complexidade dos projetos;
- Processos complexos de natureza colaborativa e especializada;
- Demanda por diferentes níveis de gerenciamento complexos;
- Demanda de infraestrutura mínima de alto custo;
- Ausência de cultura de estímulo à produção audiovisual amadora e independente.
D - FORMAÇÃO ESPECIALIZADA
- Alto custo de formação técnica especializada;
- Inacessível fora das grandes capitais;
- Baixa qualidade dos cursos;
- Ausência de especialistas para atuação na produção amadora e no cinema independente.
Analisando o contexto, fica evidente, como problema central do setor audiovisual, a exclusão social decorrente, principalmente, da ineficácia das intervenções sociais praticadas no setor, particularmente pela ausência de ações de mobilização e organização do ciclo de produção independente e acesso a cursos de formação técnica e artística de alta qualidade para os produtores independentes e jovens aspirantes. Diante dessa constatação, foram concebidos a visão estratégica e o objetivo estratégico que serviriam de base para o modelo de intervenção proposto:
VISÃO ESTRATÉGICA
Capacitar cineastas e produtores para a formulação e implementação de políticas públicas que democratizem o acesso à produção audiovisual independente.
A partir de um processo amplo de mobilização, discussão e formação política dos produtores, técnicos e artistas locais será possível formular políticas públicas coerentes com a realidade local que possam se transformar em projetos de lei municipal.
OBJETIVO ESTRATÉGICO CENTRAL
Criar um Núcleo de Produção Audiovisual independente, cooperativo e de alta qualidade técnica e artística em Mogi das Cruzes.
O ciclo de produção audiovisual é um complexo onde atuam profissionais organizados em uma equipe multidisciplinar altamente especializada: Produtor, Produtor Executivo, Roteirista, Diretor, Diretor de Arte, Diretor de Fotografia, Operador de Câmera, Técnicos de Som, Iluminação, Mestre Aderecista, Artesãos, Cenógrafo, Editor, Técnico de Efeitos Especiais, Dublês, Marceneiros, entre muitos outros.
A garantia do direito cultural de um cidadão que queira se inserir nesse universo e escrever ou produzir seu primeiro filme passa pela necessidade de organização deste ciclo de produção e uma formação básica sobre a sua estrutura, para que conheça as especialidades, equipamentos, fluxos de trabalho e procedimentos envolvidos e avaliar com quais se identifica.
Igualmente importante para o iniciante é o desenvolvimento de habilidades de comunicação e atitudes que o preparem para se adaptar ao processo colaborativo da produção audiovisual.
Essas demandas levaram à proposta de criação de um núcleo de produção independente e de alta qualidade técnica, que funcionará com características mistas de uma cooperativa, núcleo de produção e núcleo de formação técnica e artística, onde será possível vivenciar todo o processo de criação e produção de um filme.
Para atingir esse objetivo estratégico, foi estabelecido um conjunto de metas que correspondem a objetivos gerenciais a serem atingidos a médio e longo prazos, subdivididas em diretrizes e planos de ação mais específicos.
META A
Mobilizar, estimular a organização, parcerias e instrumentalização técnica e formação política dos agentes de produção audiovisual existentes.
DIRETRIZES
A01 - Mapear os agentes de produção audiovisual em diferentes setores da sociedade;
A02 - Mapear os recursos materiais de produção audiovisuais existentes;
A03 - Levantar projetos de produção de audiovisuais existentes;
A04 - Identificar objetivos, interesses e necessidades dos agentes de produção audiovisual existentes e dos detentores de recursos de produção audiovisual a curto, médio e longo prazos.
META B
Estimular a produção audiovisual amadora e experimental na cidade de Mogi das Cruzes.
DIRETRIZES
B01 - Organizar eventos e programas para difusão e análise crítica da produção audiovisual local;
B02 - Organizar programas de capacitação básica na área de produção audiovisual e cinematográfica;
B03 - Organizar eventos de capacitação para a produção de projetos audiovisuais viáveis comercialmente;
B04 - Promover a criação de núcleos experimentais de produção em escolas.
META C
Estimular a produção audiovisual profissional e de alta qualidade técnica para suprir o mercado regional e gerar produtos competitivos.
DIRETRIZES
C01 - Promover workshops e cursos avançados para especialização de técnicos de produção audiovisual, em todas as etapas do ciclo de produção audiovisual;
C02 - Orientar a formatação de projetos de audiovisual e cinema independentes visando a qualidade técnica e a viabilidade de produção e comercialização via leis de incentivo e fomento;
C03 - Realizar parcerias com agentes de produção e patrocinadores para a realização de projetos audiovisuais piloto para séries em canais de VOD.
META D
Identificar, ampliar, discutir e formalizar parcerias para criação de um mercado consistente para a produção audiovisual local.
DIRETRIZES
D01 - Desenvolver programas em parceria com a iniciativa privada e prefeitura para patrocínio de projetos de audiovisual com apoio das leis de incentivo;
D02 - Promover parcerias com o comércio para venda de produtos audiovisuais desenvolvidos na região;
D03 - Criar canais de difusão de produtos audiovisuais em rede aberta e TV a cabo;
D04 - Criar fundos de recursos governamentais para a produção audiovisual.
META E
Desenvolver projetos cinematográficos profissionais de interesse cultural em parceria com os agentes de produção e financiadores locais.
DIRETRIZES
E01 - Orientar a produção de projetos de audiovisual como suporte à ação social em questões de interesses da população de Mogi das Cruzes e região;
E02 - Orientar a produção de projetos de audiovisual como suporte a ações de preservação do patrimônio cultural e ambiental de Mogi das Cruzes e região;
E03 - Orientar a produção de projetos de audiovisual como suporte à promoção do exercício de cidadania;
E04 - Orientar a produção de vídeos e outros materiais pedagógicos para uso na rede pública por professores e arte-educadores;
E05 - Orientar a produção de projetos de audiovisual como suporte ao desenvolvimento artístico e cultural da cidade.
META F
Criar Infraestrutura básica para o Núcleo Independente de Produção Audiovisual.
DIRETRIZES
F01 - Criar uma infraestrutura permanente para o desenvolvimento de produtos audiovisuais e cinematográficos na cidade de Mogi das Cruzes (Estúdio Público com gestão independente da Sociedade Civil);
F02 - Promover a criação de dispositivos legais que permitam a autonomia do Núcleo Independente de Produção Audiovisual;
F03 - Estruturar o Núcleo Independente de Produção Audiovisual com vistas à sustentabilidade e escalabilidade.
No planejamento estratégico original constam planos de ação ainda mais específicos para viabilizar a implementação de cada uma dessas diretrizes. (Gandolla 2005)
O ENCINE
Quase vinte anos passados da presente análise da problemática do setor não existem perspectivas de mudança no enfoque ou ampliação do escopo dessas políticas públicas. Nesse meio tempo, em 2019, o Ministério da Cultura foi oficialmente extinto no Brasil, perdendo o status de ministério e sendo convertido em secretaria especial, vinculada ao Ministério do Turismo. Com a reconstrução do ministério, nesses primeiros meses de 2023, nota-se uma retomada por parte da ANCINE da mesma política de incentivo e regulação e no Conselho Nacional de Política Cultural (CNPC) (ANCINE 2023), órgão responsável pela proposição e formulação de políticas culturais a volta da mesma linha de atuação prévia: Meta 46 - “Instalar colegiados e elaborar planos de cultura para todos os setores representados no Conselho Nacional de Política Cultural.” (Brasil, 2023)
O CNPC atua com base em uma classificação artificial dos artistas como representantes das “linguagens artísticas, as identidades e as manifestações culturais” dos diferentes “setores culturais como artes visuais, circo, teatro, culturas populares, dança, entre outros” (Brasil, 2023) (CNPC, 2009).
Esses “setores culturais” são considerados e organizados pelo conselho como órgãos colegiados que, por definição, representam e defendem interesses coletivos, que serão a base conceitual para a formulação de políticas e planos setoriais.
Não consigo imaginar um modelo de organização mais equivocado e distante da realidade da produção audiovisual local do que esse. O que seria um “colegiado” representante da produção audiovisual com sua multiplicidade de artistas e profissionais? E nas produções independentes?
Infelizmente as inúmeras críticas à estrutura e atuação do que se supõe um Sistema Nacional de Cultura são rebatidas pelo Conselho Nacional de Políticas Culturais nos seus próprios documentos com truísmos e meias verdades (CPNC 2009) que impedem uma discussão produtiva e pragmática sobre questões dessa natureza conceitual e estrutural.
Ainda que, como movimento desarticulado da sociedade civil, marcada por um histórico de ausência da mobilização social em prol da luta por direitos da coletividade, a inépcia dos agentes públicos leva a concluir que a única chance de uma real mudança de paradigmas a longo prazo no setor, apesar da complexidade dos problemas envolvidos, e muitas vezes contra as próprias diretrizes do poder público, está na organização do setor a partir das realidades locais e implementação de um processo colaborativo de intervenção social local que substitua esse modelo ineficaz e combata a distribuição desigual e equivocada de recursos a uns poucos, sempre os mesmos privilegiados. Isso é o ENCINE.
Desenhado a partir do plano estratégico citado (Figura 1), o Encontro de Cineastas, Roteiristas e Produtores de Audiovisual e Hipermídia do Alto Tietê, ENCINE, foi concebido como evento independente, aberto ao público, gratuito, sem vínculos partidários ou ideológicos de nenhum tipo, que prima pela criação de oportunidades para jovens que almejam desenvolver seus talentos e encontrar parceiros para viabilizar suas ideias e expressão por meio do cinema. O evento tem, como foco, a necessidade de organizar e dar suporte a todo o ciclo de produção cultural no âmbito da produção audiovisual, particularmente nas cidades da região do Alto Tietê, em São Paulo – Brasil.
Objetivos
Por meio da mobilização de produtores de cinema e multimídia, o objetivo central do evento é o de formular e implementar colaborativamente políticas públicas que estimulem a democratização do acesso a informações e técnicas para produção de conteúdo audiovisual independente, de modo a intervir diretamente nas ações estatais, democratizar o acesso e promover a qualidade de produção cinematográfica em cada um dos elos da cadeia de produção cinematográfica e audiovisual.
Objetivos Operacionalizados
- Criar um foro para discussão de tópicos avançados relativos ao papel e ética do cineasta diante da evolução dos conceitos de arte e cultura em um contexto de degradação simbólica e das relações humanas.
- Organizar um processo ativo e democrático de produção cinematográfica, visando a característica do cinema como atividade altamente colaborativa e consequente necessidade de uma formação técnica de alto nível para a produção de filmes mais complexos, quase sempre inacessível a produtores independentes e de regiões distantes dos eixos de produção;
- Identificar e cadastrar produtores, cineastas e roteiristas independentes, mapeando suas áreas de atuação e interesse e levantando suas demandas;
- Formar tecnicamente produtores independentes por meio de cursos de alto nível e palestras nas áreas mais relevantes;
- Aproximar produtores, cineastas e roteiristas com interesses afins e estimular coproduções;
- Fomentar a produção de obras audiovisuais de produtores, cineastas, roteiristas e diretores estreantes e estudantes;
- Promover intercâmbio cultural entre as diversas realidades da cidade; e
- Democratizar o acesso a recursos e informações pertinentes à indústria audiovisual aos produtores de comunidades afastadas, por meio da disponibilização dos conteúdos pela Internet e promover sua participação em debates online.
Modalidades
As modalidades do ENCINE implementam as diretrizes prioritárias do referido planejamento estratégico (Figura 1) com base em um mesmo modelo simplificado de encontro, diálogo e colaboração e têm por objetivo a curto e médio prazos formar um foro de discussão sobre questões conceituais e técnicas envolvidas no domínio da produção audiovisual e hipermídia.
ENCINE Workshop
Reuniões voltadas à formação técnica por meio de cursos de alta qualidade técnica tendo como público-alvo jovens artistas, produtores locais de cinema e produtores de audiovisual em geral, abordando todas as áreas do ciclo de produção (Roteiro, Direção, Direção de Produção, Direção de Fotografia, Direção de Arte, entre outras) definidas a partir de pesquisas realizadas entre os produtores para identificar suas necessidades e prioridades.
ENCINE Debate
Reunião de cineastas com apresentação e debate de seus filmes, tendo como objetivos: (a) estimular a produção de novos filmes, a partir de parcerias entre produtores que não se conheciam ou trabalhavam isoladamente e (b) atrair jovens produtores interessados em realizar seus filmes, mas que não dispunham de equipamentos, equipe, conhecimentos técnicos específicos e outros recursos, que naturalmente passam a ser compartilhados a partir de afinidades e desafios comuns.
ENCINE Cineclube
Exibição de filmes de produtores locais nos bairros mais distantes da cidade, buscando: (a) criar uma identidade do cinema local, que evolua com base em parâmetros crescentes de qualidade (selo ENCINE); (b) criar um circuito de espaços alternativos de exibição; (c) viabilizar a formação e crítica estética de moradores da cidade a partir de produções locais de alta qualidade e (d) divulgar a produção cinematográfica e os produtores locais.
ENCINE Mob
Encontros destinados ao mapeamento de demandas políticas e à mobilização de produtores e aspirantes à produção cinematográfica nos bairros e distritos mais distantes, a partir da implementação dos ENCINE nos bairros, com a mesma estrutura de debates, formação e integração, mas tendo como foco desejável o uso do poder crítico e de reflexão da linguagem cinematográfica para viabilizar a criação de produtos audiovisuais que representem uma visão crítica da realidade local e, a longo prazo, uma cooperativa de cinema.
ENCINE Machinima
Encontros que promovem a interação e colaboração entre desenvolvedores de jogos e produtores de audiovisual e multimídia, com ênfase na divulgação e produção de outros produtos hipermídia baseados em jogos (MACHINIMA) e novas mídias.
ENCINE Lab
Encontros entre produtores de audiovisual especificamente destinados à apresentação e experimentação de novas tecnologias, equipamentos e linguagens para a produção audiovisual e hipermídia (Realidade Virtual, Realidade Aumentada, Produção Virtual, Vídeo Interativo, Hipercinema, Sistemas e Interfaces Hápticas, Projeção 3D, Cinema 4D) (fig. 4).
Metodologia e Escalabilidade
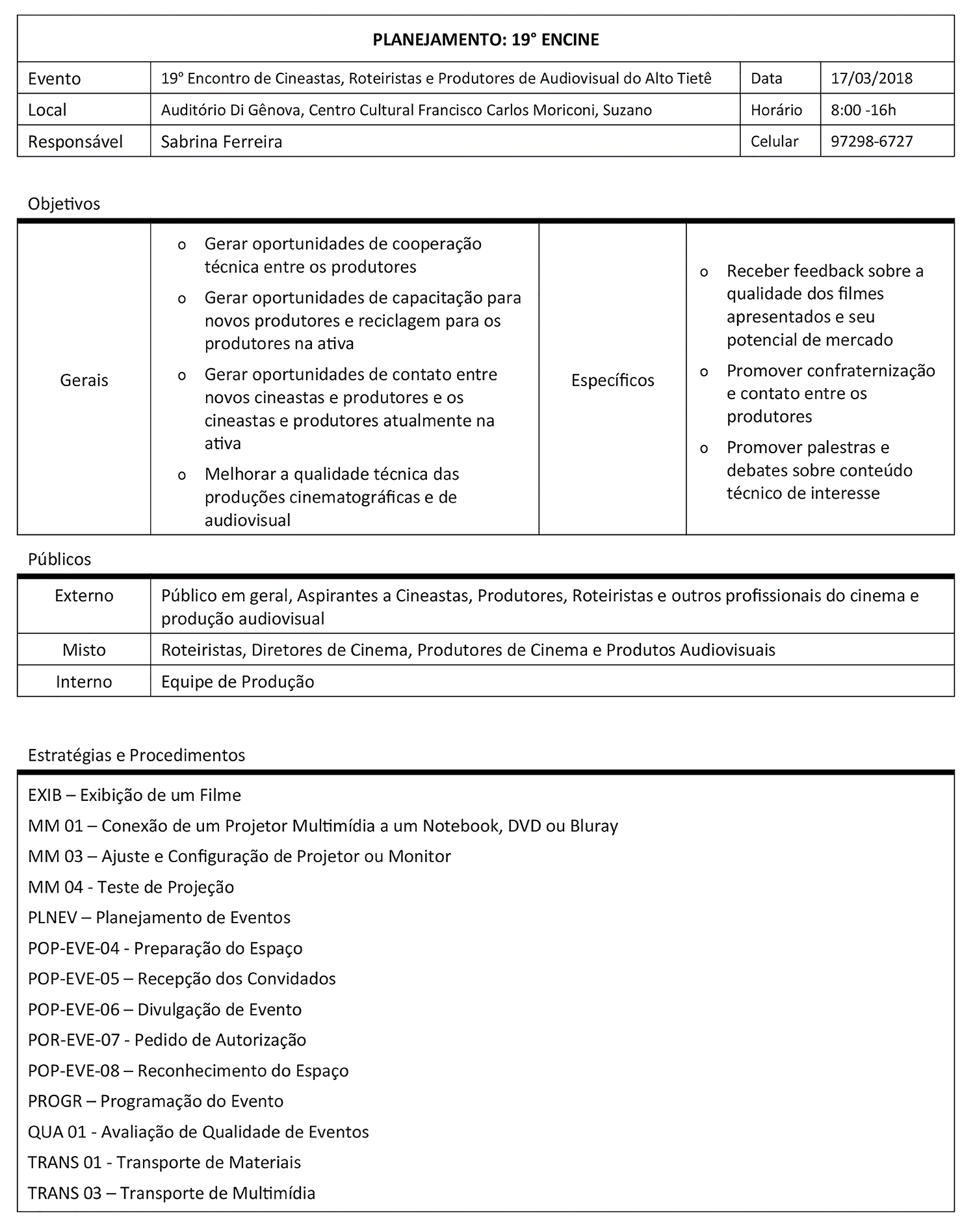
O ENCINE foi concebido desde o início com base em uma cultura de melhoria contínua de qualidade tendo em vista a estratégia de replicação em outras cidades do Brasil. A organização do evento se baseia em um conjunto de formulários onde estão documentadas as responsabilidades e procedimentos operacionais envolvidos nas etapas de pré, trans e pós-evento.
A Figura 5 mostra o trecho de um formulário de planejamento para um dos encontros.
Esse material está organizado em forma de um pacote (kit) de procedimentos e materiais de divulgação e design fornecido gratuitamente para interessados na implementação do evento em sua cidade.
O kit contém 35 procedimentos que incluem metodologias para planejamento do evento, recepção de convidados, alimentação, transporte de materiais, divulgação, configuração e testes de equipamentos multimídia e avaliação de qualidade que é feita via Internet, após a conclusão do evento, e durante o evento por meio da análise de fatores condicionantes e providências tomadas com o objetivo de melhoria contínua da qualidade.
A estratégia básica de implementação consiste em organizar esses encontros com uma frequência regular (encontros mensais ou bimestrais) em diferentes modalidades, documentar os workshops e discussões e disponibilizar esse material via internet e os filmes em uma plataforma de streaming própria (ENCINE Play).
Com a divulgação e padronização dos procedimentos de modo a garantir eventos de alta qualidade técnica com custo mínimo é possível escalar a implementação realizando os encontros em qualquer cidade interessada com equipes reduzidas.
O compartilhamento de recursos, informações e ações de formação técnica e discussões coletivas naturalmente leva a um aumento do número de produções e do seu nível de qualidade técnica e artística, assim como a novos núcleos de produção ou projetos mais complexos ou profissionais, nascidos da ampliação e especialização de equipes, a partir da rede de contatos que se forma ao longo do tempo.
As discussões em torno das produções ou de caráter político e técnico nos encontros promovem o aumento do discernimento e ética dos participantes do processo.
Em um segundo passo, a consolidação dessa dinâmica colaborativa permite a criação de um Núcleo de Produção Independente (NPCINE) envolvendo um número maior de pessoas, atuando de forma ainda mais especializada e eficiente, o que possibilita a criação de filmes mais complexos e de qualidade técnica ainda maior, tornando possível a visibilidade dos filmes em festivais mais importantes e comercialização e distribuição em plataformas de streaming e VOD.
Ao longo do tempo, o NPCINE tende a se tornar um espaço democrático para iniciação e treinamento de jovens em todas as etapas do ciclo de produção, sob mentoria e tutoria de técnicos voluntários progressivamente mais experientes e conscientes da importância desse modelo de colaboração. Contratos de voluntariado podem ser instrumentos para remuneração posterior dos envolvidos no caso de comercialização dos produtos.
Organizando um processo de compartilhamento de recursos materiais, equipamentos, especialidades passa a ser possível formar pequenos estúdios e aumentar a eficiência da produção de modo a aumentar significativamente a criação, produção e distribuição dos produtos locais, com base em um ambiente de liberdade de expressão, experimentação e melhoria contínua da qualidade.
Na longa jornada entre o momento de concepção do modelo, passando pelos encontros e organização dos produtores locais estamos, atualmente, no processo de implementação do primeiro núcleo de produção cinematográfica na cidade de Mogi das Cruzes, São Paulo, Brasil, em processo de divulgação para expandir essa iniciativa para outras cidades e entidades interessadas em implementar o modelo.
Resultados e discussão
Os Encontros de Cineastas, Roteiristas e Produtores de Audiovisual e Hipermídia do Alto Tietê foram realizados pela LIGHTRAY Multimedia, produtora audiovisual sediada na cidade de Mogi das Cruzes, São Paulo, Brasil, que conta com uma equipe de 6 pessoas para planejamento, organização, realização e administração do evento, em sua maioria, mulheres.
O Alto Tietê é uma região do Estado de São Paulo que engloba 12 municípios, com aproximadamente 3 milhões de habitantes. O ENCINE, caracterizando-se como um evento para cidadãos do Alto Tietê, além da cidade de Mogi das Cruzes, contou com participantes das cidades de Ferraz de Vasconcelos, Guarulhos, Itaquaquecetuba, Poá e Suzano, cidades que abrangem aproximadamente 95% da população da região correspondente ao Alto Tietê, segundo IBGE (IBGE 2023) (Fig. 6).
O ENCINE, em números absolutos:
- 6 anos de Encontros (de 2013 a 2019);
- 27 edições;
- 114 filmes exibidos, entre curtas e médias metragens, videoclipes, documentários, ensaios e vídeos de um minuto;
- 194 participantes, entre profissionais, amadores e simpatizantes, incluindo alunos de escolas públicas de 11 a 17 anos de idade, todos cadastrados no banco de dados do ENCINE;
- 20 participantes, em média, por encontro;
- 18 palestras e workshops ministrados pela LIGHTRAY Multimedia e por convidados sobre temas relacionados ao planejamento, a arte e à técnica no cinema e no audiovisual (tabela 1);
- 593 avaliações tabuladas para aferição e gerenciamento da qualidade dos eventos realizados (tabelas 2)
| TEMAS DE PALESTRAS E WORKSHOPS REALIZADOS AO LONGO DOS “ENCINE” | |
| Ministradas por convidados | Ministradas pela LIGHTRAY MULTIMEDIA |
| “Gestão Cultural e formatação de projetos” | “Modelo de Produção e Planejamento” |
| “Cooperativismo” | “As melhores configurações para seu vídeo online (segundo um especialista do Google)” |
| “Direção de Arte no Cinema” | “Introdução às tecnologias THX, Dolby Digital e Dolby Atmos” |
| “Pitching: como vender seu projeto” | “Exposição em Vídeo Digital (Princípios, métodos e técnicas)” |
| “Forma Fílmica: a criação como formação” | “Princípios Básicos de Iluminação para Video Digital” |
| “Cadeia de Som no Cinema” | “Direção de Arte: do Roteiro à Filmagem” |
| “Machinima” | “Da Captação à Edição de Áudio” |
| “RA, RV e Hipercinema no Brasil e no mundo” | “Pitching” |
| “Pós-produção de Áudio” | |
| “Métodos e Técnicas de Iluminação no Cinema” | |
A avaliação foi feita com base em quatro blocos referentes a: a) Divulgação do evento; b) Estrutura e Equipamento utilizados; c) Processos para a realização do evento; e d) Avaliação Geral do evento. Os participantes avaliavam itens específicos de cada bloco, que correspondem aos itens numerados na coluna esquerda da tabela 2, nas categorias RUIM, BOM, MÉDIO e EXCELENTE. Na coluna da direita da mesma tabela, estão colocadas as categorias assinaladas pela maior parte dos participantes para cada item dos diferentes blocos de avaliação. Essas avaliações propiciaram a melhoria dos processos para a realização de cada Encontro, com a formulação e aperfeiçoamento dos procedimentos e planejamentos elaborados.
Os participantes que avaliaram os ENCINE, passaram a realizar trabalhos em colaboração entre eles e com outros profissionais da área. Na tabela 3, são mostrados aqueles que se destacaram em termos de produção audiovisual após a participação nos ENCINE. Desses quatro produtores, três iniciaram seus trabalhos após se conhecerem nos ENCINE e passaram a colaborar entre eles. Dois deles montaram canal no YOUTUBE após participação no ENCINE e todos eles colaboraram ou continuam colaborando entre si nas produções audiovisuais que seguem realizando.
Questionados sobre a importância da realização do ENCINE e a contribuição desse evento para sua própria produção e o desenvolvimento da produção audiovisual da região, responderam que o ENCINE é uma oportunidade de:
- Mostrar os próprios trabalhos;
- Ver o trabalho dos colegas;
- Aprender com o trabalho dos colegas;
- Estabelecer uma rede de contatos;
- Conseguir parceria, cooperação e colaboração entre produtores;
- Aprimorar-se tecnicamente;
- Obter conhecimento por meio dos workshops oferecidos;
- Adquirir uma nova postura com relação ao audiovisual: priorizar a qualidade em vez da quantidade;
- Ser um referencial para qualidade nas produções;
- Estimular novas produções.
| Divulgação e data do Evento | Média das 27 edições do ENCINE |
| 1. Divulgação nos meios de comunicação | Entre médio e bom (80%) |
| 2. Data e horário | Entre médio e excelente (75%) |
| 3. Duração do evento | Entre bom e excelente (95%) |
| Estrutura e equipamentos | Média das 27 edições do ENCINE |
| 1. Local | Entre bom e excelente (100%) |
| 2. Ambiente e instalações | Entre bom e excelente (100%) |
| 3. Equipamentos e aparelhos | Entre bom e excelente (80%) |
| 4. Conforto | Entre bom e excelente (90%) |
| Processos | Média das 27 edições do ENCINE |
| 1. Receptividade e apresentação das pessoas | Entre bom e excelente (100%) |
| 2. Programação | Entre bom e excelente (90%) |
| 3. Qualidade técnica | Entre bom e excelente (95%) |
| 4. Coffee break | Excelente (100%) |
| Avaliação Geral do Evento | Média das 27 edições do ENCINE |
| 1. Iniciativa de realização | Entre bom e excelente (100%) |
| 2. Em que nível ajudou os participantes | Entre médio e excelente (98%) |
| 3. Cumprimento de datas e horários | Entre médio e excelente (90%) |
| 4. Nível de participação própria no evento | Entre médio e bom (70%) |
| 5. Colaboração para a realização do evento | Entre médio e bom (70%) |
| 6. Qualidade do evento | Entre bom e excelente (100%) |
| 7. Satisfação com o evento | Entre bom e excelente (100%) |
| 8. Para os participantes, o evento foi ... | Entre bom e excelente (100%) |
| 9. Chances de indicar o evento | Excelente (100%) |
| PRODUTORES QUE SE DESTACARAM APÓS PARTICIPAÇÃO NOS ENCINE | |
| Produtor JGR | Grupo de jovens produtores FGE |
| - produções iniciaram depois da participação no ENCINE; - recebeu convites para colaboração para realização de filmes de outros produtores amadores locais; - atualmente, é chamado por outras produtoras para realização de filmes, com nome em mais de 20 filmes próprios e de outras produtoras. | - após ENCINE, montaram canal no YOUTUBE; - aumento da qualidade das produções em termos técnicos; - colaboração com outros jovens produtores que conheceram nas reuniões do ENCINE; - atualmente, com 89 vídeos, entre curtas, shorts e longas, postados no canal; - canal conta com 100 mil inscritos. |
| Jovem produtor NR | Produtor ALS |
| - colaboração para realização de fan films com produtores conhecidos nos ENCINES; - montagem de canal no YOUTUBE no ano de 2017; - canal com 59 vídeos postados, entre entrevistas, fã filmes e making of dos filmes; - canal conta com 46,6 mil inscritos. | - iniciou produções no ENCINE; - não tem grupo próprio, participando de produções de colegas que conheceu nos ENCINE; - produções próprias realizadas com a colaboração de colegas que conheceu no ENCINE; - participou de 7 filmes, sendo 3 de sua autoria. |
Conclusão
O processo de formulação de políticas culturais para o setor audiovisual no Brasil tem ignorado a dimensão do direito cultural do cidadão e a complexidade dos contextos socioeconômicos e culturais em que se insere e do qual derivam questões de cunho conceitual e ético que não são levadas em consideração no processo de concepção das intervenções: o poder de alienação da mídia, como instrumento de ordenação e parametrização de comportamentos e pensamentos; as estratégias de persuasão e manipulação que fundamentam o modelo capitalista, o poder de doutrinação e imposição da hegemonia cultural global, o desmantelamento das relações sociais, o fim do humanismo e dos valores humanos como parâmetros para a emancipação da sociedade, as dinâmicas da violência social e simbólica, para citar as principais.
Como resultado, as intervenções feitas com base em uma visão reducionista e anacrônica da realidade contribuem para impor e perpetuar um padrão hegemônico e acrítico de cultura baseada nos valores da cultura dominante, a ponto de normalizá-las por meio de financiamento de produtos culturais rasos, de entretenimento fácil, baseados em demandas e valores da cultura de mercado.
Esse processo tem nome: violência simbólica, como definida pelo sociólogo francês Pierre Bourdieu (Bourdieu 1990): o processo em que se perpetuam e se impõem determinados valores culturais a partir do pressuposto de que sejam universais. Os sistemas simbólicos compartilhados por grupos sociais (a cultura e, por extensão, a educação) são arbitrários, variam ao longo da história e de sociedade para sociedade e induzem a um processo de alienação.
O processo de formulação de políticas culturais precisa evoluir de modo a resgatar seu papel fundamental de orientador da formação crítica do cidadão a partir do desenvolvimento do seu discernimento, da sua participação no processo real de construção simbólica e empoderamento como agente ativo de emancipação da sociedade e criação de uma ordem social mais justa e equitativa. Esse é um desafio complexo que, na prática, significa repensar o conceito, em si, de Cultura e o papel da educação! Ensinar a transcender a Cultura!
O acrônimo ENCINE é uma provocação que carrega o ideal de uma transformação radical para os valores e a estrutura das políticas culturais no âmbito da produção audiovisual a partir do aprofundamento das discussões conceituais e da complexidade dos contextos em que se insere a produção audiovisual.
O cinema e suas extensões são expressões artísticas e simbólicas vivas que impactam diretamente a construção de identidades, reafirmam a diversidade, constroem cidadania. Uma política pública para o setor só será ética, eficaz, quando formulada sob essa ótica. E esse é o ideal que move a ousadia da concepção deste modelo de intervenção.
Por meio da mobilização de artistas do cinema e produção hipermídia, desde 2013, temos implementado políticas públicas de forma colaborativa, buscando interferir nas intervenções estatais, democratizar o acesso e aumentar a qualidade da produção cinematográfica no Brasil. Como prova de conceito de uma política pública da sociedade civil, o ENCINE é uma estratégia revolucionária, escalável, que representa uma visão a longo prazo para o desenvolvimento do setor audiovisual em bases democráticas e inclusivas, independente do poder público.
Referências
Almeida, Martinho Isnard Ribeiro de. 2001. Manual de planejamento estratégico: desenvolvimento de um plano estratégico com a utilização de planilhas Excel. São Paulo: Atlas.
ANCINE. 2013. Plano de diretrizes e metas para o audiovisual. https://antigo.ancine.gov.br/sites/default/files/consultas-publicas/PDM%20-FINAL.pdf Acessado em: 24 abril de 2023.
ANCINE. 2019. Análise dos investimentos do FSA em produção de obras audiovisuais destinadas ao mercado inicial de salas de exibição. https://www.gov.br/ancine/pt-br/fsa/resultados/analise_chamadasfsa_cinema-revisado.pdf Acessado em: 24 abril de 2023.
ANCINE. 2022. Estudo: Valor Adicionado pelo Setor Audiovisual Ano-base: 2019. https://www.gov.br/ancine/pt-br/oca/publicacoes/arquivos.pdf/valor_adicionado_2019_25-01-2022.pdf Acessado em: 01 de maio de 2023.
Assis, Stephanie Karoline da Cruz et al. 2016. Lei do audiovisual: análise da eficiência de captação e produção dos proponentes. https://www.conferencias.unb.br/index.php/ccgunb/ccgunb2/paper/download/5237/1468 Acessado em: 24 abril de 2023.
Bourdieu, Pierre et al. (1990) A Reprodução: Elementos para uma Teoria do Sistema de Ensino. Ed. Vega, Lisboa, 302 pp.
Brasil. 2023. Plano Nacional de Cultura – Políticas Culturais. http://pnc.cultura.gov.br/politicas-culturais/. Acessado em: 10 de maio de 2023.
Brasil. 2013. As metas do plano nacional de cultura. Brasília, DF: Senado Federal. https://www.ipea.gov.br/participacao/images/pdfs/conferencias/IIICNCultura/metas-do-plano-nacional-de-cultura.pdf Acessado em: 27 de abril de 2023.
Brasil. 2014.Lei Cultura Viva - LEI Nº 13.018, de 22 de julho de 2014. http://www.planalto.gov.br/ccivil_03/_Ato2011-2014/2014/Lei/L13018.htm Acessado em: 27 abril de 2023
Brasil. [Constituição (1988)]. Constituição da República Federativa do Brasil. Brasília, DF: Senado Federal, 2016. https://www2.senado.leg.br/bdsf/bitstream/handle/id/518231/CF88_Livro_EC91_2016.pdf Acessado em: 24 abril de 2023.
Chomsky, Noam. 2013. MÍDIA: Propaganda política e manipulação. São Paulo: Editora WMF Martins Fontes. 1ª edição. 82p.
Conselho Nacional de Política Cultural (CNPC). 2023. Publicações e manuais. http://cnpc.cultura.gov.br/publicacoes/ Acessado em 11 de maio de 2023.
Conselho Nacional de Política Cultural (CNPC). Sistema Nacional de Cultura. 2009. http://portalsnc.cultura.gov.br/wp-content/uploads/sites/32/2018/04/Documento-B%C3%A1sico-do-SNC.pdf
IBGE- Instituto Brasileiro de Geografia e Estatística - IBGE Cidades. https://cidades.ibge.gov.br/. Acessado em 11 de maio de 2023.
Gandolla, Pedro. 2005. Proposta de planejamento estratégico para o setor audiovisual, Mogi das Cruzes: Conselho Municipal de Cultura.
Lambert M. et al. 2010. SWOT Analysis. VDM Publishing
Mbembe, Achille. 2018. Necropolítica. 3. ed. São Paulo: n-1 edições. 80 p.
Mbembe, Achille. 2016. The age of humanism is ending. https://mg.co.za/article/2016-12-22-00-the-age-of-humanism-is-ending/ Acessado em: 02 de maio de 2023.
Times, Milena. 2013. Políticas Públicas do Audiovisual no Brasil: formação e desafios. Intercom – Sociedade Brasileira de Estudos Interdisciplinares da Comunicação. XXXVI Congresso Brasileiro de Ciências da Comunicação http://www.intercom.org.br/papers/nacionais/2013/resumos/R8-1462-1.pdf Acessado em: 07 de maio de 2023.